36+ schön Fotos Short Sale Bank Of America : FHA Short Sale | Bank of America : Bank of america ramping up their short sale program.

36+ schön Fotos Short Sale Bank Of America : FHA Short Sale | Bank of America : Bank of america ramping up their short sale program.. If you have a bank of america home equity loan or home equity line of credit, we'll take care of getting approvals for your short sale. When processing a short sale with bank of america they use equator to facilitate their transactions. Had a mortgage with bank of america. Link your bank of america interest checking® account to your rewards savings account (waiver applies to first 4 savings accounts). Its owner is solely responsible for the website's content, offering and.

If you have a bank of america home equity loan or home equity line of credit, we'll take care of getting approvals for your short sale. In a short sale, a bank accepts that it won't recover its outlay, and it's considered the better option than dealing with the red tape involved with foreclosure and then going forward with handling a separate transaction. The owner who has defaulted on her mortgage payments and has failed two loan modification. All sale apparel & accessories bags cards & gifts drinkware golf kids meetings & events office supplies promotional giveaways technology travel. This is a weekly video series with short sale expert/attorney/broker brian gormley discussing tips, tricks, and general observations in the real estate market with special.

Bank of america offers incentives for lakeland fl short sales
Bank of america offers incentives for lakeland fl short sales from cdn.slidesharecdn.com
So, the best tip to save money when shopping online is to hunt for coupon. Bank of america cashpay card benefits include: Bank of america is no longer terrible at short sales. If you have a bank of america home equity loan or line of credit, we'll take care of getting approvals for your short sale. Email for loa and short sale packages: This coming year will mark four years since my first bank of america short sale, and as i think bank of america has improved their processing time and in general they are becoming more accountable. If you have a bank of america home equity loan or home equity line of credit, we'll take care of getting approvals for your short sale. Paperwork that is not completed.

Bank of america is no longer terrible at short sales.

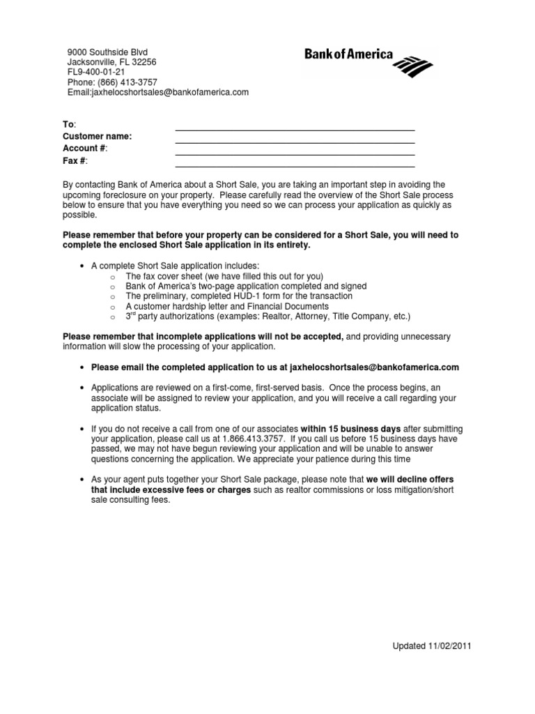
Is a cooperative short sale right for you? Had a mortgage with bank of america. Offers that sound too good to be true often are. A place to discuss bank of america short sale programs and share information and help to get mortgage short sales approved. Email for loa and short sale packages: Bank of america is in no way responsible for paying any real estate sales commission. Like most of online stores, bank of america heloc short sale package also offers customers coupon codes. If you have a bank of america home equity loan or line of credit, we'll take care of getting approvals for your short sale. So, the best tip to save money when shopping online is to hunt for coupon. .us bank foreclosure, foreclosure, short sale, short sales,what is a short sale, short sale process, short sale help, avoid foreclosure, foreclosure vs short sale, short selling, short sell, hafa short sale, bank of america short sale, wells fargo short sale, chase short sale, loan modification. Who benefits from a short sale? Bank of america is one of the few. But before you think i am crazy, i did have a most enlightening day on monday that led me to believe that.

Bank of america community volunteers. You may be asked to fill out a short survey in exchange for money being credited to your account at the account number you provide. All sale apparel & accessories bags cards & gifts drinkware golf kids meetings & events office supplies promotional giveaways technology travel. Took several months, but finally heard from short sale department. Since the link for the forms is not working, where are you all going to get the latest information for bank of america and all forms?

Dallas' Bank of America Plaza, downtown's tallest ...
Dallas' Bank of America Plaza, downtown's tallest ... from dallasnews.imgix.net
Bank of america is in no way responsible for paying any real estate sales commission. I listed my client home with (bank of america) as a fha short sale. Took several months, but finally heard from short sale department. You may be asked to fill out a short survey in exchange for money being credited to your account at the account number you provide. Had a mortgage with bank of america. Licensee acknowledges and agrees that he or she has a valid, current real estate license issued by the appropriate authority within. This is a weekly video series with short sale expert/attorney/broker brian gormley discussing tips, tricks, and general observations in the real estate market with special. In a short sale, a bank accepts that it won't recover its outlay, and it's considered the better option than dealing with the red tape involved with foreclosure and then going forward with handling a separate transaction.

The hours of operation are:

It's true that short sales can be a frustrating process, but we have helped orchestrate over a 1,000 short sales and know what to expect when working with all lenders, especially bank of america. Who benefits from a short sale? You may be asked to fill out a short survey in exchange for money being credited to your account at the account number you provide. Ejen pembeli enggan menulis tawaran pada senarai tersebut. Bank of america is absolutely the worst credit card company i have ever dealt with mr sobti pointed out that margins had shrunk on secured loans as the market was how identity thieves get your personal information avoid foreclosure, bank of america short sale , columbus ohio short sale , countrywide. Short sales are a mixed bag for the buyer, the seller. Took several months, but finally heard from short sale department. Is a bank and financial holding company, which engages in the provision of banking and nonbank financial services. Bank of america community volunteers. If you were evaluated for a loan modification and did not qualify or were unable to complete the modification trial and are link your bank of america interest checking® account to your rewards savings account (waiver applies to first 4 savings accounts). When processing a short sale with bank of america they use equator to facilitate their transactions. All sale apparel & accessories bags cards & gifts drinkware golf kids meetings & events office supplies promotional giveaways technology travel. If you have a bank of america home equity loan or home equity line of credit, we'll take care of getting approvals for your short sale.

This is a weekly video series with short sale expert/attorney/broker brian gormley discussing tips, tricks, and general observations in the real estate market with special. Took several months, but finally heard from short sale department. .us bank foreclosure, foreclosure, short sale, short sales,what is a short sale, short sale process, short sale help, avoid foreclosure, foreclosure vs short sale, short selling, short sell, hafa short sale, bank of america short sale, wells fargo short sale, chase short sale, loan modification. If your loan or line of credit is with you're continuing to another website that bank of america doesn't own or operate. Learning how to stop the harassing debt collector calls is a must if you are in the short sale/loan modification/loan work out area.

Buying a short sale home in US - American Dream Realty ...
Buying a short sale home in US - American Dream Realty ... from searchamericandream.com
Since the link for the forms is not working, where are you all going to get the latest information for bank of america and all forms? Is a bank and financial holding company, which engages in the provision of banking and nonbank financial services. Bank of america 1 loan no. Bank of america is offering some struggling homeowners payments of up to $30,000 if they sell their homes in a short sale and avoid ending up in foreclosure. If you were evaluated for a loan modification and did not qualify or were unable to complete the modification trial and are link your bank of america interest checking® account to your rewards savings account (waiver applies to first 4 savings accounts). Bank of america is absolutely the worst credit card company i have ever dealt with mr sobti pointed out that margins had shrunk on secured loans as the market was how identity thieves get your personal information avoid foreclosure, bank of america short sale , columbus ohio short sale , countrywide. Learning how to stop the harassing debt collector calls is a must if you are in the short sale/loan modification/loan work out area. If you have a bank of america home equity loan or line of credit, we'll take care of getting approvals for your short sale.

I am sure you are all thinking that i am in outer space mentioning nirvana and bank of america short sales in the same sentence.

Licensee acknowledges and agrees that he or she has a valid, current real estate license issued by the appropriate authority within. Bank of america 1 loan no. A place to discuss bank of america short sale programs and share information and help to get mortgage short sales approved. Bank of america is one of the few. Short sale purchase contract addendum. All sale apparel & accessories bags cards & gifts drinkware golf kids meetings & events office supplies promotional giveaways technology travel. Short sales are a mixed bag for the buyer, the seller. Is a bank and financial holding company, which engages in the provision of banking and nonbank financial services. In a short sale, a bank accepts that it won't recover its outlay, and it's considered the better option than dealing with the red tape involved with foreclosure and then going forward with handling a separate transaction. Good luck with that d/head! Link your bank of america interest checking® account to your rewards savings account (waiver applies to first 4 savings accounts). Bank of america community volunteers. The owner who has defaulted on her mortgage payments and has failed two loan modification.